Free Will Template Minnesota

Free Minnesota Last Will and Testament Template PDF Word eForms

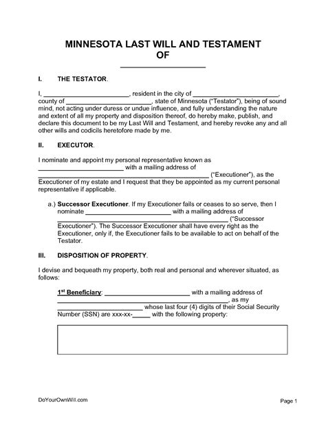
Free Will Template Minnesota. Drafting wills and trust agreements by minnesota state bar. Web don’t forget there’s a free minnesota last will and testament available to download for free on this page.

Free Minnesota Last Will and Testament Template PDF Word eForms
Free Minnesota Last Will and Testament Template PDF Word eForms

Drafting wills and trust agreements by minnesota state bar. Web don’t forget there’s a free minnesota last will and testament available to download for free on this page.

Web don’t forget there’s a free minnesota last will and testament available to download for free on this page. Drafting wills and trust agreements by minnesota state bar. Web don’t forget there’s a free minnesota last will and testament available to download for free on this page.