Alimony Agreement Template

Spousal Support Demand Letter Template Word and PDF

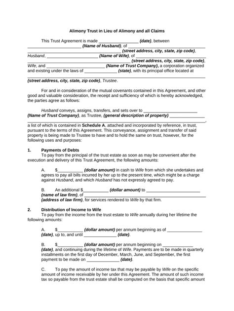
Alimony Agreement Template. Use our sample alimony agreement letter as a template for your. Web learn how to write an alimony agreement letter.

Spousal Support Demand Letter Template Word and PDF
Spousal Support Demand Letter Template Word and PDF

Web learn how to write an alimony agreement letter. Use our sample alimony agreement letter as a template for your.

Web learn how to write an alimony agreement letter. Use our sample alimony agreement letter as a template for your. Web learn how to write an alimony agreement letter.